研究成果多了,但颠覆性的成果却少了
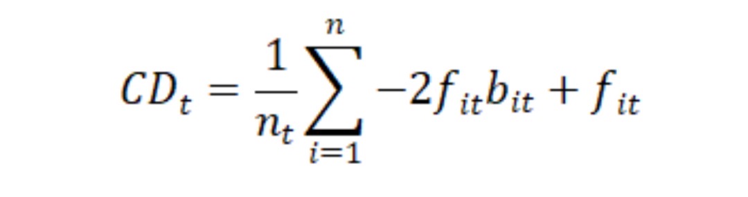
研究人员推测,对于高颠覆性的科学研究,其参考文献被后续研究引用的可能性较低,引用更多的是该研究本身。研究人员利用来自4500万份论文和390万份专利的引文数据,并通过技术变迁网络模型提出了“CDt指数”,它表示的是一项科学研究发表t年后,对其参考文献后续引用的次数增加或者减少的程度,是量化颠覆性程度的参数,其中颠覆性最小的研究的CDt值为-1,颠覆性最大的研究的CDt值为1。其详细公式如下:
fit:若引用目标论文/专利本身则取1,否则取0;
bit:若引用目标论文/专利的参考文献则取1;否则取0;
nt:目标论文/专利发表t年后,其参考文献的引用次数;
1945年至2010年间,研究论文的平均CD指数下降了90%以上,而专利的平均CD指数从1980年至2010年下降了78%以上。即使考虑到引证实践等因素的潜在差异,所有被分析的研究领域和专利类型的颠覆性都有所下降。
研究人员还分析了论文中最常用的动词,发现20世纪50年代的研究更倾向于使用“produce”或“determine”等词汇来指代科学的创造或发现,而在2010年左右的研究则更倾向于用“improve”或“enhance”等词汇来表示渐进的科研进步。
西北大学计算社会科学家尹艺安(音译)表示,近几十年来,科学创新有所放缓,而这项研究为“以数据驱动方式研究科学如何变化”提供了一个新起点。
西北大学计算社会科学家王大顺(音译)认为,颠覆性研究在本质上并不一定更是好的,增量式科学研究也不一定是坏的。例如,第一次直接观测到引力波既是革命性的,也是增量式科学的产物。
为什么颠覆性产出会逐年降低?
John Walsh指出,尽管在1945年至2010年间,颠覆性研究的比例大幅下降,但高颠覆性的研究数量仍保持不变。同时下降速度也令人费解:CD指数从1945年到1970年急剧下降,但是从1990年末到2010年的下降趋势却越来越缓慢。因此要找到这些矛盾的原因并不容易,需进一步的分析与探索。




